Mars Atmosphere and Volatile Evolution (MAVEN)
Launching Site
NASA's MAVEN mission began with a launch from Cape Canaveral Air Force Station's Space Launch Complex 41, with the latitude of 28.583333° N, 80.583056° W. Launching at this site is advantageous as it is possible to make use of the earth's rotation, as the linear velocity of planetary revolution on earth surface is greater the closer it is towards the equator, done by launching eastwards. Another advantage is the sparsely populated downrange area, being an ocean, especially since modern rockets uses multiple stages, so when a stage runs out of fuel and serves no more function the said stage can be discarded into the ocean.
| Figure 1. Cape Canaveral Air Force Station's Space Launch Complex 41. |
Launch Vehicle
The MAVEN used the Atlas V 401 version launch system. It has the specifications of:
Payload : 7,095 kg (15,642 lb)
Thrust : 3,827 kN (860,343 lbf)
Gross Mass : 338,640 kg (746,570 lb)
Height : 58.3 m (191 ft)
Diameter : 3.81 m (12.5 ft)
Apogee : 185 km (114 mi)
With the specification for each stage:
Stage I : Atlas CCB. Engine : 1 x RD-180. Empty Mass : 21,054 kg. Propellant Mass : 284,089 kg. Thrust (vac) : 4,152 kN. Isp (vac) : 337.8 s. Burn time : 253 s. Length : 32.46 m. Diameter : 3.81 m. Fuel : RP-1/LOX.
Stage II : Centaur. Engine : 1 x RL10A or 1 x RL10C. Empty Mass : 2,316 kg. Propellant Mass : 20,830 kg. Thrust (vac) : 99.2 kN. Isp : 450.5 s. Burn time : 842 s. Length : 12.68 m. Diameter : 3.05 m. Fuel : LH2/LOX.
![]() |
| Figure 3. Atlas V Before Launch. |
Reconstruction
Parking Orbit :R = 6686 km
Transfer Orbit :
![]() |
| Figure 4. MAVEN Orbit Transfer Trajectory Illustration |
e = 0.259
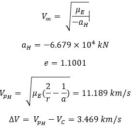
Hyperbolic Escape :
Hyperbolic Arrival :
Transfer Time :
You can see our presentation video by clicking here (make sure you are connected to the internet ;).)
Muhammad Hideyoshi 13616045
Dion Kartawijaya 13616065
Hafizhuddin 13616070
Irsyad AM 13616111





Comments
Post a Comment